Standard Normal Distribution - Univariate, Bivariate and Multivariate context

     STANDARD NORMAL DISTRIBUTION

In Univariate Context

PDF for Univariate Normal Distribution contains two parameters μ and σ  and PDF is given by, 


by plugin and 
 in the PDF of the normal distribution, the equation simplifies to



Units for the standard normal distribution curve are denoted by z and are called as z-score or z-values or standard score.

CDF corresponds to AUC for defined interval, usually -infinity to z value and denoted by Greek letter.


where e= 2.71828 and 3.14159.


In Bivariate Context (Joint Bivariate Normal Density Function)

PDF for bivariate normal distribution ( with two variables, say X1 and X2) will contain five parameters,

two means μ1 and μ2

two standard deviations σ1 and σ2 

and the product moment correlation between the two variables, ρ

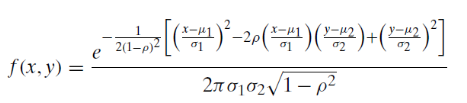
PDF for Bivariate Normal Distribution is given by,

where ∑ is variance-covariance matrix.


Comparison to Univariate PDF

PDF function can be simplified presented using determinant of variance-covariance matrix, |∑| 



We can see that this pdf displays a general bell-shaped appearance.



The surface is centered at the point (μ1, μ2), that is, the centroid

For each point on the bottom X1X2 plane, we have a point f (X1X2) lying on the surface of the bell-shaped mountain (refer fig above)


Going back to previous formula, Bivariate normal distribution is the statistical distribution with PDF

Can be written as,

 V_(12) is the covariance.

or can be written as, (this is in terms of x and y)


Condition density of Y given X=x is a normal distribution with the mean and variance as given below.

Similarly, condition density of X given Y=y is normal distribution with mean and variance as given below.



PDF for bivariate joint PDF can be further simplified from,

to, in the form of below exponent (Employing the common denominator 




 inside the square brackets)  however this was not helpful to solve below problem. Just for information.



Problem statement: determine sigma1, sigma2, correlation coefficient that mu1=0 and mu=-1.
exponent of a bivariate normal density is,


Solution

Expanding above formula,

which can be written, if we move a given factor k2 into the brackets, as

Comparing with given exponent 



Alternately, 


In Multivariate Context

Reference

1. The Standard Normal Distribution • SOGA • Department of Earth Sciences (fu-berlin.de)

2. Bivariate Normal Distribution - an overview | ScienceDirect Topics

3. probability - How does one solve a bivariate normal density function? - Mathematics Stack Exchange

4. 1: Illustration of a bivariate Gaussian distribution. The marginal and... | Download Scientific Diagram (researchgate.net)

5. Bivariate Normal Distribution -- from Wolfram MathWorld

Comments

Popular posts from this blog

Visualizing Ellipse rotation and associated parametric equations

Covariance Error Ellipse - sqrt of Eigen value as ellipse axis length

Confidence Region (Confidence ellipse) plot for Bivariate Data